przez umek19 » 14 paź 2016, o 13:03
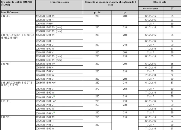
felgi w oplu to 4x100 lub 5x110 :
6,5Jx15 4x100x56,5 ET 35
6,5Jx16 4x100x56,5 ET 37
6,5Jx15 5x110x65 ET 35
6,5Jx16 5x110x65 ET 37
- Załączniki
-

- kola_astra_iii_m.png (38.05 KiB) Przeglądane 14203 razy
Białystok. Czasem jest tak, że to, co się liczy, nie da się policzyć, a to, co daje się policzyć – nie liczy się.